薛其坤等《科学》发文 首次在实验上发现量子反常霍尔效应
或将推动信息技术进步
清华新闻网3月15日电 (记者 顾淑霞 通讯员王亚愚) 由清华大学薛其坤院士领衔,清华大学、中科院物理所和斯坦福大学的研究人员联合组成的团队在量子反常霍尔效应研究中取得重大突破,从实验上首次观测到量子反常霍尔效应,在美国物理学家霍尔于1880年发现反常霍尔效应133年后终于实现了反常霍尔效应的量子化。这是我国科学家从实验上独立观测到的一个重要物理现象,也是世界基础研究领域的一项重要科学发现。该成果于北京时间3月15日凌晨(美国东部时间3月14日下午)在《科学》杂志在线发表。《科学》杂志的三位匿名审稿人对该项成果都给予了高度评价。文章的共同第一作者为清华大学物理系的博士生常翠祖、张金松、冯硝同学和中科院物理所的博士生沈洁同学。该工作是由清华大学物理系薛其坤、王亚愚、陈曦、贾金锋,中科院物理所何珂、马旭村、王立莉、吕力、方忠、戴希等一起共同攻关完成的。

Chemical potential
量子反常霍尔效应的原理示意图:当化学势(chemical potential)位于铁磁拓扑绝缘体的狄拉克点处打开的能隙内时,其零磁场的反常霍尔电导sxy(0) 达到量子电导e2/h的数值并形成平台,而其纵向电导sxx(0)变为0。
由于人们有可能利用量子霍尔效应发展新一代的低能耗晶体管和电子学器件,这将会克服电脑的发热和能量耗散问题,从而有可能推动信息技术的进步。然而,由于普通量子霍尔效应的产生需要用到非常强的磁场(通常需要的磁场强度是地磁场的几万甚至几十万倍),因此应用起来非常昂贵和困难。而量子反常霍尔效应的最美妙之处是不需要任何外加磁场,因此,这项研究成果将会推动新一代的低能耗晶体管和电子学器件的发展,可能加速推进信息技术革命的进程。

量子反常霍尔效应的测量器件示意图:将分子束外延生长的铁磁拓扑绝缘体薄膜制备成场效应晶体管的结构,并对其霍尔电阻ryx 和纵向电阻rxx进行精密测量。
美国科学家霍尔分别于1879年和1880年发现霍尔效应和反常霍尔效应。1980年德国科学家冯·克利青发现整数量子霍尔效应,1982年美国科学家崔琦和施特默发现分数量子霍尔效应,这两项成果分别于1985年和1998年获得诺贝尔物理奖。2006年,张首晟教授领导的理论组成功地预言了二维拓扑绝缘体中的量子自旋霍尔效应,于2007年被实验证实。量子反常霍尔效应是又一个全新的量子效应,被认为有可能是量子霍尔效应家族的最后一个重要成员;加之其在应用方面的重要性,因此,从理论研究和实验上实现量子反常霍尔效应,成为凝聚态物理学家追求的目标。自1988年开始就不断有理论物理学家提出各种方案,这包括2008年张首晟等和2010年方忠和戴希等提出的磁性掺杂拓扑绝缘体方案。然而反常霍尔效应的量子化需要材料的性质同时满足三项非常苛刻的条件,这就如同要求一个人同时具有短跑运动员的速度、篮球运动员的高度和体操运动员的灵巧:材料的能带结构必须具有拓扑特性从而具有导电的一维边缘态,即一维导电通道;材料必须具有长程铁磁序从而存在反常霍尔效应;材料的体内必须为绝缘态从而对导电没有任何贡献,只有一维边缘态参与导电。在实际的材料中实现以上任何一点都具有相当大的难度,而要同时满足这三点对实验物理学家来讲是一个巨大的挑战,美国、德国、日本等科学家由于无法在材料中同时满足这三点而未取得最后的成功。

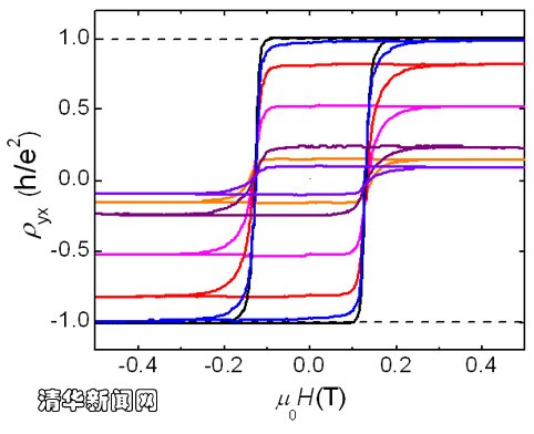
量子反常霍尔效应的实验数据图:不同的曲线显示在不同栅极电压下材料霍尔电阻ryx 随磁场的变化。在一定的栅极电压范围内,零磁场的反常霍尔电阻数值达到量子电阻的数值h/e2。
自2009年起,在清华大学薛其坤院士的带领下,中国科学院物理研究所的马旭村、何珂和王立莉、清华大学物理系王亚愚、陈曦和贾金锋以及中科院物理所的吕力等四个研究组组成的实验攻关团队,与中科院物理所方忠、戴希等组成的理论团队,开始向量子反常霍尔效应的实验实现发起冲击。在过去近四年的时间里,团队生长和测量了超过1000个样品,一步步克服了重重障碍。团队利用分子束外延的方法生长了高质量的磁性掺杂拓扑绝缘体薄膜,将其制备成输运器件并在极低温环境下对其磁电阻和反常霍尔效应进行了精密测量。他们发现在一定的外加栅极电压范围内,此材料在零磁场中的反常霍尔电阻达到了量子霍尔效应的特征值h/e2~ 25800欧姆。他们将研究成果投到美国《科学》(Science)杂志,很快被接受。
“这是我们团队精诚合作,联合攻关的共同成果,是中国科学家的集体荣誉”。薛其坤院士强调说。
在研究过程中,该团队取得了系列研究成果,拓扑绝缘体研究成果曾入选2010年中国科学十大进展和中国高校十大科技进展,团队成员还获得了2011年“求是杰出科学家奖”、“求是杰出科学成就集体奖”和“中国科学院杰出科技成就奖”以及2012年“陈嘉庚科学奖”和“全球华人物理学会亚洲成就奖”等荣誉。
该研究得到了国家自然科学基金委、科技部、教育部、清华大学和中国科学院等的基金资助。
背景链接一:量子霍尔效应的研究成果
在凝聚态物理的研究中,量子霍尔效应占据着极其重要的地位,此前在这方面的重要工作包括:
整数量子霍尔效应(1980年发现,1985年诺贝尔物理奖);
分数量子霍尔效应(1982年发现,1998年诺贝尔物理奖);
量子化自旋霍尔效应(2007年发现,2010年欧洲物理奖,2012年美国物理学会巴克利奖)。
量子反常霍尔效应是在此领域的又一个重大进展,有可能是量子霍尔效应家族的最后一个重要成员。
背景链接二:霍尔效应、量子霍尔效应与量子反常霍尔效应
霍尔效应是美国物理学家霍尔(Edwin Hall)于1879年发现的一个物理效应。在一个通有电流的导体中,如果施加一个垂直于电流方向的磁场,由于洛伦兹力的作用,电子的运动轨迹将产生偏转,从而在垂直于电流和磁场方向的导体两端产生电压,这个电磁输运现象就是著名的霍尔效应。产生的横向电压被称为霍尔电压,霍尔电压与施加的电流之比则被称为霍尔电阻。由于洛伦兹力的大小与磁场成正比,所以霍尔电阻也与磁场成线性变化关系。
1980年左右,德国科学家冯·克利青(Klaus von Klitzing)发现了整数量子霍尔效应,获得1985年诺贝尔物理奖。1982年,美籍华人物理学家崔琦(Daniel Chee Tsui)和施特默(Horst L. Stormer) 等发现了分数量子霍尔效应,这个效应不久由另一位美国物理学家劳弗林(Robert B. Laughlin)给出理论解释,他们三人荣获1998年诺贝尔物理奖。
量子霍尔效应之所以如此重要,一方面是由于它们体现了二维电子系统在低温强磁场的极端条件下的奇妙量子行为,另一方面这些效应可能在未来电子器件中发挥特殊的作用,可以用于制备低能耗的高速电子器件。例如,如果把量子霍尔效应引入计算机芯片,将会克服电脑的发热和能量耗散问题。然而由于量子霍尔效应的产生需要用到非常强的磁场,因此至今为止它还没有特别大的实用价值--要产生所需的磁场不但价格昂贵,而且其体积庞大(衣柜大小)也不适合于个人电脑和便携式计算机。
1880年,霍尔在研究磁性金属的霍尔效应时发现,即使不加外磁场也可以观测到霍尔效应,这种零磁场中的霍尔效应就是反常霍尔效应。反常霍尔效应与普通的霍尔效应在本质上完全不同,因为这里不存在外磁场对电子的洛伦兹力而产生的运动轨道偏转。反常霍尔电导是由于材料本身的自发磁化而产生的,因此是一类新的重要物理效应。联想到上面介绍的量子化的霍尔效应,人们自然就会问,能不能实现不需要外加磁场的量子化的反常霍尔效应呢?这首先将是又一个全新的量子效应,有可能是量子霍尔效应家族的最后一个重要成员。此外,如果能在实验上实现零磁场中的量子霍尔效应,我们就有可能利用其无耗散的边缘态发展新一代的低能耗晶体管和电子学器件,从而解决电脑发热问题和摩尔定律的瓶颈问题,有可能推动信息技术的进步。该团队的研究使这一期待变成现实。
北京时间2013年3月15日,《科学》(Science)杂志在线发文,宣布薛其坤院士领衔的团队在实验上首次发现量子反常霍尔效应。
编辑:范 丽